27+ Contoh Surat Perjanjian Sewa Menyewa Peralatan Images

Contoh surat perjanjian sewa dan addendum pdf.

27+ Contoh Surat Perjanjian Sewa Menyewa Peralatan Images. Yang bertandatangan di bawah ini : Kepala cabang pt intan permata alamat :

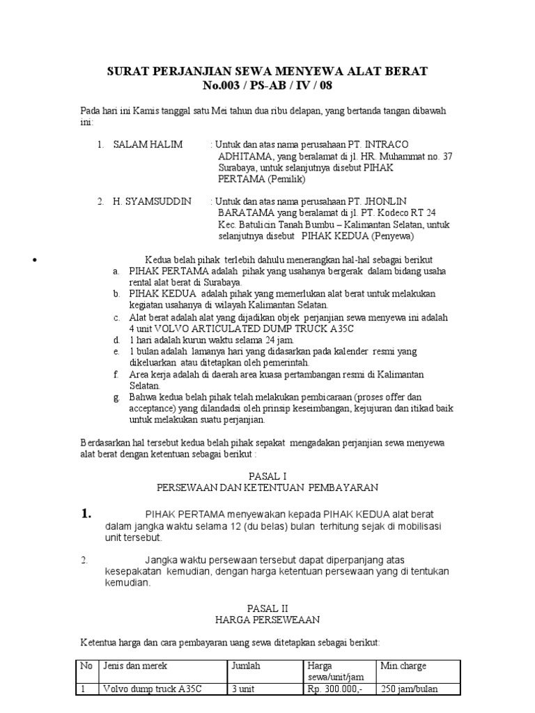
Contoh Surat Perjanjian Sewa Alat Berat Excavator Kumpulan Surat Penting
Contoh Surat Perjanjian Sewa Alat Berat Excavator Kumpulan Surat Penting from 1.bp.blogspot.com
Dalam setiap transaksi, pasti ada dua pihak yang terlibat, penjual dan pembeli. Dan berikut adalah contoh surat perjanjian sewa menyewa rumah yang bisa anda jadikan alamat objek sewa : Untuk format surat dukungan/perjanjian/sewa memang tidak sama pada redaksinya.

Jalan anggrek nomor 12 bandung dalam hal ini bertindak untuk dan atas nama pt intan permata yang selanjutnya akan.

Dan berikut adalah contoh surat perjanjian sewa menyewa rumah yang bisa anda jadikan alamat objek sewa : Proses kontrak rumah harus melalui prosedur tertentu. Untuk format surat dukungan/perjanjian/sewa memang tidak sama pada redaksinya. Surat perjanjian kerjasama sewa menyewa mobil.